-
-
- Acessórios de cozinha
- Alcoómetros
- Liquidificadores, misturadores e robôs planetários
- Chaleiras elétricas
- Máquinas de café e café
- Máquinas de waffles
- Frytownice (Air Fryer)
- Kostkarki do lodu
- Mikrofalówki
- Piekarniki i piece
- Szybkowary
- Saturatory
- Tostery, opiekacze, grille elektryczne
- Termosy i kubki termiczne (Sport i turystyka)
- Wagi kuchenne
- Żelazka i parownice
- Aquecedores
- Uzdatnianie powietrza
- Wentylatory i klimatyzatory
- Odkurzacze
-
- Lokalizatory
- Gwarancje i licencje cyfrowe
- Konsole i akcesoria
- Akcesoria GSM
- Monitoring CCTV
- Tablety i czytniki e-book
- Fotografia
-
Sprzęt sieciowy
- VoIP
- LTE, 5G
- Kable i patchcordy
- Akcesoria do szaf Rack
- OLT i ONT
- Akcesoria sieciowe
- Anteny Wi-Fi, LTE
- Obudowy, mufy, puszki
- Szafy Rack
- Spawarki światłowodowe i narzędzia
- Access Pointy
- Switche (Przełączniki)
- Uchwyty montażowe (akcesoria montażowa)
- Moduły SFP
- Zasilanie
- Amplificadores de sinal Wi-Fi
- Routery
- Radiolinie
- Powerline
- Piloty do przeciągania kabli
- Media konwertery
- Komputery i gaming
- Drony i akcesoria
- Alimentação
- Inteligentne okulary
- Liczarki do pięniędzy
-
- Aspiratory do nosa
- Inhalatory (link do zdrowia)
- Lampki, projektory gwiazd (Dom i ogród)
- Poduszki ciążowe
- Podgrzewacze do butelek
- Sterylizatory dla butelek
- Termometry dla dzieci
- Penicos e adaptadores
- Masażery laktacyjne
- Pokój dziecięcy
- Zabawki, gry i edukacja
- Butelki, bidony i akcesoria
- Laktatory i akcesoria
- Wanienki i akcesoria do kąpieli
- Wózki dla dzieci
- Odzież
MikroTik - Sem fio

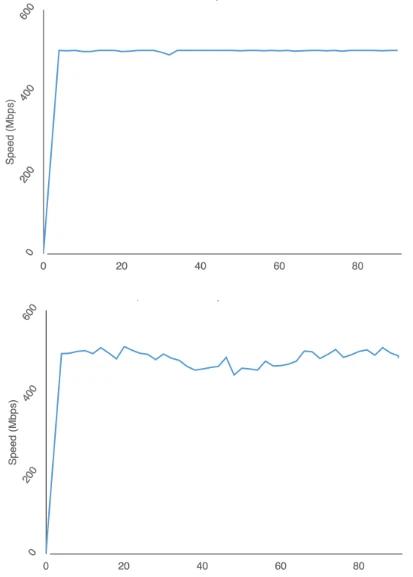
Eu discordo desta afirmação porque não é verdade. Nesta entrada vou tentar apresentar objetivamente as razões de tal opinião e mostrar como os dispositivos MikroTikpodem alcançar resultados comparáveis aos de outros dispositivos sem fio da mesma classe. Minha opinião é baseada em testes realizados em algumas dezenas de modelos de roteadores sem fio durante os últimos 6 meses dos testes. Os testes foram realizados em condições idênticas, no mesmo local, de modo a obter materiais de comparação com o menor número possível de fatores variáveis. A maioria dos resultados dos testes foi publicada no site BATNA24 na secção Testes de Dispositivos, e o seu resumo pode ser encontrado na série de entradas "The Great Access Points Test 2020".

Vamos começar com a teoria...
As condições ideais são:
Abaixo - um exemplo de cálculo simplificado:


Está na hora das especificações do router WiFi...
Ao comparar dispositivos de diferentes padrões de velocidade, a maioria dos dispositivos MikroTik só funcionam na banda de 5GHz com velocidades de 867Mbit/s, enquanto quase todos os dispositivos Ubiquiti funcionam nesta banda com velocidades de 1300Mbit/s ou 1733Mbit/s. Como pode ser visto na tabela acima, a diferença no rendimento real entre os dispositivos é significativa. Abaixo - a tabela com parâmetros de roteadores exemplares.
MikroTik na versão de software RouterOS 6.46/6.47 não suporta todas as funcionalidades do padrão Wave2, que está totalmente implementado no Ubiquiti.
Os dispositivos MikroTik geralmente funcionam simultaneamente como firewall e/ou NAT, cuja funcionalidade degrada seu desempenho WiFi, enquanto os dispositivos Ubiquiti são separados nesta funcionalidade.
A maioria dos dispositivos Ubiquiti são projetados para serem montados na parede ou suspensos do teto. Esta forma de montagem garante a livre propagação do sinal sem fio sem interferência. Os dispositivos MikroTik, por outro lado, são na sua maioria concebidos para serem colocados numa secretária/prateleira onde nas imediações existem muitos objectos que atenuam o sinal e geram reflexos de interferência.
O desempenho da plataforma (CPU, chip de rádio) não é comparável, o que se reflecte no preço dos produtos.
Exemplos de modelos e seus parâmetros de rádio.
| Fabricante e modelo do dispositivo | Número de canais de rádio | Velocidade do rádio (taxa de dados PHY) | Velocidade real esperada (TCP/UDP) (* |
| Ubiquiti AmpliFi HD Mesh Router | 3 | 1300Mbit/s | 750-845Mbit/s |
| Ubiquiti UniFi AC PRO | |||
| Ubiquiti UniFi AC Lite | 2 | 867Mbit/s | 450-610Mbit/s |
| Ubiquiti UniFi Nano HD | 4 | 1733Mbit/s | 1000-1100Mbit/s |
| MikroTik hAP ac lite | 1 | 433Mbit/s | 250-280Mbit/s |
| MikroTik cAP ac | 2 | 867Mbit/s | 450-610Mbit/s |
| MikroTik wAP ac | |||
| MikroTik hAP ac2 | |||
| MikroTik hAP ac3 | |||
| Château MikroTik | |||
| Audiência MikroTik(**) | 4 | 1733Mbit/s | 1000-1100Mbit/s |
| Roteador Xiaomi AIoT AC2350 | 4 | 1733Mbit/s | 1000-1100Mbit/s |
| TP-Link Archer C6 | 2 | 867Mbit/s | 450-610Mbit/s |
| TP-Link Archer C1200 | 2 | 867Mbit/s | 450-610Mbit/s |
| Totolink A7000R | 4 | 1733Mbit/s | 1000-1100Mbit/s |
| Totolink A3002RU | 2 | 867Mbit/s | 450-610Mbit/s |
| Totolink A800R | 2 | 867Mbit/s | 450-610Mbit/s |
*) - O valor é uma certa simplificação de cálculo subtraindo a sobretaxa de protocolos sem fio e outros fatores que afetam o rendimento alcançado. Na realidade, dependendo das condições locais e dos dispositivos do cliente, pode ser inferior ou superior.
**) - O público MikroTik requer RouterOS 7.x que nesta fase ainda está em fase BETA e não se podem esperar resultados máximos.
Ajustes sem fio de overkill
Uma política diferente é adotada pela MikroTik, que quer oferecer acesso ao maior número possível de parâmetros. Isto se deve ao fato de que MikroTik era originalmente uma solução destinada apenas a especialistas, que sabem muito bem como cada parâmetro funciona individualmente e como ele afeta os resultados gerais. Isto não pode ser esperado de um utilizador típico de soluções domésticas ou de pequenos escritórios. A alteração mesmo de um pequeno parâmetro na configuração padrão pode causar uma queda drástica no desempenho da rede sem fio. Isto se deve ao fato de que os dispositivos MikroTik podem ser configurados de forma diferente do padrão WiFi 802.11n/802.11ac, mas isto não é um inconveniente, apenas a funcionalidade esperada pelos especialistas.
A seguir descreverei o erro de configuração mais comum, ou seja, a faixa de operação escolhida incorretamente para canais de 40/80/160MHz.
No caso dos padrões 802.11n/802.11ac, a maioria dos dispositivos permite apenas as configurações padrão da faixa de operação do canal (freqüências de início e fim). Se o padrão 802.11ac para canal de 80MHz número 106 define a operação na faixa de freqüência de 5490-5570MHz, então somente um transceptor trabalhando exatamente da mesma maneira permitirá alcançar a máxima taxa de transferência. Se o usuário dos dispositivos MikroTik definir manualmente os parâmetros
isto resultará numa redução do rendimento máximo em mais de metade ou até mais na prática. A questão é que tal definição significa que o canal opera na faixa de freqüência 55300-5610 MHz, o que é incompatível com o plano do canal dos padrões 802.11n/ac.

Onde XX/XXXX deveria simbolizar que o aparelho irá escolher a frequência do próprio canal de controlo e a restante gama de frequências iniciais e finais. Tudo isso só funciona corretamente quando temos éter claro de outros transmissores. No caso de uma maior densidade de transmissores, a MikroTik pode selecionar erroneamente o canal de controle e as freqüências de início e fim, o que tem o efeito de diminuir o rendimento total do transmissor e em vez de atingir velocidades >400Mbps mal conseguimos 100-200Mbps.
O canal de controle na notação MikroTik é representado pela letra "C" e os canais de expansão de 20MHz até 40/80/160MHz são representados pela letra "e". Exemplos A notação 5540/20-eCee significa que o canal de controlo de 20MHz está definido para a frequência central de 5540MHz. A frequência inicial do canal de controle para a banda de 5GHz é determinada pela subtração de 10MHz da frequência central de 5540MHz, e a frequência final é determinada pela adição de 10MHz à frequência central, portanto, neste caso, o canal de controle está na faixa de 5530-5550MHz. Desse intervalo subtraímos 20MHz ao valor mais baixo tantas vezes quanto temos "e" antes de "C" e adicionamos 20MHz ao valor mais alto tantas vezes quanto temos "e" depois de "C". No nosso exemplo de 5530 subtraímos uma vez 20MHz, o que nos dá o valor 5510MHz, e a 5550 adicionamos duas vezes 20MHz ( 40MHz), o que nos dá o valor 5590MHz. Os valores obtidos são o valor inicial da frequência do canal igual a 5510MHz e o valor final da frequência do canal igual a 5590MHz (5510MHz-5590MHz).
Por exemplo, a MikroTik pode definir:
para definir o canal descrito como: 5520/20-Ceeee, que opera na faixa de 5510-5590MHz e não atinge o canal 106, perdendo assim muito desempenho.

Com base na minha experiência testando dispositivos Ubiquiti, Cambium, Totolink, Aruba, TP-Link, não notei que eles permitem que você defina uma faixa de freqüência inicial e final do canal em que operam diferente da especificação padrão.
O que posso mudar para não exagerar?
1. o valor "Band" para "5GHz-N/AC (separador: sem fios)
Eu não uso rede sem fio para transmissão de IPTV, então eu desabilito o "Multicast Helper". (Separador: Sem fios)
3. Se necessário, habilito "Avançado" e defino "Hw. Retries" até um valor de 10 (Tab: Avançado)
4. Certifique-se de definir a largura correta do canal.

